壓力表對液壓千斤頂檢定示值的影響解析
液壓千斤頂是一種以液壓缸或柱塞為剛性頂舉件的千斤頂,其關鍵性的指示計量器具是壓力表,且壓力表的 計量性能與工程力值測量結果直接相關。據此,本案筆者解析壓力表對液壓千斤頂檢定示值的影響,并據此給出合理的建議。
液壓千斤頂是一種在橋梁、地鐵、高架以及隧道建設中廣 泛應用的儀器,其由千斤頂主體、油泵、油路及壓力表組成。 其中,壓力表是關鍵性的指示計量器具,其會對液壓千斤頂 的檢定示值產生直接影響,具體表現在下列方面:
一、測量范圍的影響
液壓千斤頂上限壓力的額定值是50-60MPa,但在生產 制造時,其配套壓力表的測量范圍卻通常選在0-60MPa區段, 表明在正常使用千斤頂時,其工作壓力將達壓力表測量上限的 90-100%,如此勢必會影響到千斤頂的測量精度。按照規定, 待測壓力應比壓力表測量上限的75%小或相等,即:倘若壓 力表的測量范圍是0-60MPa,則其線性工作區域<45MPa,而 若液壓千斤頂控制的壓力> 45MPa,則壓力表的彈性敏感元件 便在疲勞極限區,此時既易損壞壓力表,又會影響測量精度。 另據JJG52-1999規定,普通壓力表的誤差應為測量上限的90- 100%,且允許下降一級計算。比如,?夜壓千斤頂檢定用0-60MPa、 1.6級的普通壓力表時,其允許誤差是±0.96MPa,且即使在 54-60MPa范圍內的誤差達±1.5MPa,仍可判定合格,如此極 易引起液壓千斤頂的上限壓力檢定示值失準。

綜上,在選擇液壓千斤頂的配套壓力表時,建議其測量 上限按千斤頂壓力額定上限的140-200%計算,且若壓力表 存在彈性后效的影響,則其測量上限按200%計算。換而言之, 倘若液壓千斤頂控制的壓力是50-60MPa,則壓力表的測量上 限最宜選為100MPa。
二、準確度與分辨力的影響
通常而言,液壓千斤頂配套的壓力表是1.6級的普通壓力 表,但其定級標準是引用誤差,則難以會產生不利影響。例如, 液壓千斤頂檢定用0-100MPa、1.6級的普通壓力表時,只要任 一檢定點的檢定示值誤差< ± 1.6MPa,便可判定合格。但從千 斤頂的檢測精度而言,± 1.6MPa的誤差卻會產生較大的影響。 比如,在10MPa檢定點,壓力表存在±1.6MPa的誤差,可使液 壓千斤頂產生16%的相對誤差。同時,壓力表的最小分辨力隨 等級的改變而不同。比如,對于0-100MPa的壓力表,倘若其等 級是0.4級,則相對的最小分度值是0.5MPa。因為壓力表的指 針刀鋒與表盤垂直,則可估讀最小分度值的10%,即其最小分 辨力是0.05MPa。據此,對于1.6級的普通壓力表,其最小分度 值是2MPa。因為壓力表的指針刀鋒與表盤平行,則可估讀最小 分度值的20%,即其最小分辨力是0.4MPa。綜上,壓力表的準 確度等級、分辨力會對液壓千斤頂檢定示值產生較大影響。
三、配套檢定的影響
倘若檢定條件相同,則選擇準確度等級不同的壓力表會 對液壓千斤頂的測量精度產生影響。下面,筆者列舉不同等 級的壓力表,以探討其對液壓千斤頂檢定示值的影響。表1 所示是液壓千斤頂與壓力表的選型。
針對表1所示的壓力表,依據《液壓千斤頂檢定規程》,在 室溫301的條件下,用0.5級應變式標準測力儀對壓力表進行 配套檢測。檢測結果顯示,2塊壓力表的檢測結果都與其準確 度等級相符。但若將準確度等級不同的壓力表與同一臺液壓千斤頂配套,則其檢測結果卻存在較大差別,甚至不在允許范圍內。
四、不確定度研究
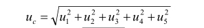
在液壓千斤頂的檢定中,其測量結果不確定度主要來源 于下列方面:一是應變式標準測力儀所致的標準不確定度分量% ; 二是液壓千斤頂在檢定重復性時所致的標準不確定度 分量u2;三是溫度變化所致的不確定度分量U3 ;四是檢定 示值估讀不準確所致的不確定度分量m4 ;五是數據修約所致的標準不確定度分量u5。倘若將不同的壓力表與同一臺液壓千斤頂配套,則會影響到測量結果的不確定度,見表2。
精密壓力表測量結果的合成標準不確定度K滿足下面函 數式:
結合表2可得,\ = V0.559% = 0.74%,則擴展不確定 度U = 1.5%、t = 2,判定其與規范要求相符。同理,普通壓力表測量結果的合成標準不確定度\ = ^2.731% =1.65%,
則其擴展不確定度U = 3.3% k = 2,判定其與規范要求不符。
據此,壓力表的測量范圍、準確度等級及分辨力等因素都會 對液壓千斤頂的檢定結果產生直接影響,則在壓力表配套選 擇時,按液壓千斤頂油壓額定值的140-200%來計算壓力表 的測量上限,而其準確度等級選取0.4級。
五、結語
綜上,前文分別探究了壓力表的測量范圍、準確度等級、分 辨力及配套檢定對液壓千斤頂檢定示值的影響。通過不確定度 研究發現,壓力表的測量范圍、準確度等級及分辨力等對液壓千 斤頂檢定示值的影響較為明顯。因此,為了提高壓力表的計量 性能及液壓千斤頂的測量精度,建議在壓力表配套選擇時,按 液壓千斤頂油壓額定值的140-200%來計算壓力表的測量上限 及其準確度等級選取0.4級,從而提高液壓千斤頂的應用效果。


